Ordonnée à l'origine

De statistique
Version datée du 14 janvier 2019 à 23:15 par Frs (discussion | contributions) (Illustration)
Aller à la navigation Aller à la recherche
Angl. : Intercept.

Valeur d'ordonnée lorsque x vaut zéro.

C'est la coordonnée y au point où une fonction coupe l'axe des ordonnées.

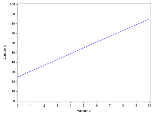
Illustration

Graphe de la fonction de droite b = 6a + 25.
La valeur de l'ordonnée à l'origine est 25.

Voir aussi