Fonction
Aller à la navigation
Aller à la recherche
| Angl. : Function. |
Relation entre deux variables qui fait correspondre à chacune des valeurs d'une variable indépendante une valeur d'une variable dépendante. Par la fonction, la variable dépendante est exprimée « en fonction de » la variable indépendante, c'est-à-dire que les valeurs de la variable dépendante peuvent être obtenues par transformation systématique des valeurs de la variable indépendante.
La fonction est symbolisée par l'expression :
On nomme domaine l'ensemble des valeurs de la variable indépendante et image l'ensemble des valeurs de la variable dépendante.
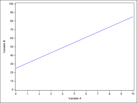
Illustration
SAS
DATA EXEMPLE;
DO A=0 TO 10 BY 1;
B=(6*A)+25; */ Fonction de droite B = 6A + 25 /*;
OUTPUT;
END;
PROC SGPLOT DATA=EXEMPLE NOAUTOLEGEND;
SERIES X=A Y=B / LINEATTRS=(COLOR=BLUE) MARKERATTRS=(COLOR=WHITE);
XAXIS VALUES=(0 TO 10 BY 1) LABEL="Variable A";
YAXIS VALUES=(0 TO 100 BY 10) LABEL="Variable B";
